What Is The Average Weight Of A Steer . one 1,400lb steer has a hanging weight that is 60% it’s live weight. if if you you have have ever ever purchased purchased a a quarter, quarter, a a side side or or a a whole whole beef carcass, chances are you have wondered why you have. use this calculator to estimate a steer's daily gain. The animal's beginning weight is subtracted from its current weight. On the second steer, this. Some breeds are genetically polled. Another 1,400lb steer has a hanging weight that is 50% it’s live weight. for most fed cattle, the hcw will be approximately 60 to 64 percent of live animal harvest weight. Key points for judging market steers.
from www.nourishedwithnature.com
On the second steer, this. The animal's beginning weight is subtracted from its current weight. Key points for judging market steers. Another 1,400lb steer has a hanging weight that is 50% it’s live weight. one 1,400lb steer has a hanging weight that is 60% it’s live weight. use this calculator to estimate a steer's daily gain. Some breeds are genetically polled. for most fed cattle, the hcw will be approximately 60 to 64 percent of live animal harvest weight. if if you you have have ever ever purchased purchased a a quarter, quarter, a a side side or or a a whole whole beef carcass, chances are you have wondered why you have.
3 Types of Weights Live, Hanging and Packaged — Nourished With Nature
What Is The Average Weight Of A Steer one 1,400lb steer has a hanging weight that is 60% it’s live weight. if if you you have have ever ever purchased purchased a a quarter, quarter, a a side side or or a a whole whole beef carcass, chances are you have wondered why you have. one 1,400lb steer has a hanging weight that is 60% it’s live weight. Some breeds are genetically polled. for most fed cattle, the hcw will be approximately 60 to 64 percent of live animal harvest weight. The animal's beginning weight is subtracted from its current weight. Another 1,400lb steer has a hanging weight that is 50% it’s live weight. On the second steer, this. use this calculator to estimate a steer's daily gain. Key points for judging market steers.
From schematicdreamerryli1yz2.z21.web.core.windows.net
Ss Round Bar Weight Chart What Is The Average Weight Of A Steer The animal's beginning weight is subtracted from its current weight. one 1,400lb steer has a hanging weight that is 60% it’s live weight. On the second steer, this. use this calculator to estimate a steer's daily gain. Some breeds are genetically polled. if if you you have have ever ever purchased purchased a a quarter, quarter, a. What Is The Average Weight Of A Steer.
From rvcastaways.com
Weight A Minute RV Castaways What Is The Average Weight Of A Steer for most fed cattle, the hcw will be approximately 60 to 64 percent of live animal harvest weight. Key points for judging market steers. On the second steer, this. The animal's beginning weight is subtracted from its current weight. Another 1,400lb steer has a hanging weight that is 50% it’s live weight. one 1,400lb steer has a hanging. What Is The Average Weight Of A Steer.
From beef.unl.edu
How Many Pounds of Meat Can We Expect From A Beef Animal? UNL Beef What Is The Average Weight Of A Steer if if you you have have ever ever purchased purchased a a quarter, quarter, a a side side or or a a whole whole beef carcass, chances are you have wondered why you have. use this calculator to estimate a steer's daily gain. Key points for judging market steers. The animal's beginning weight is subtracted from its current. What Is The Average Weight Of A Steer.
From www.researchgate.net
Graph of monthly average cold carcass hanging weight of steer and What Is The Average Weight Of A Steer use this calculator to estimate a steer's daily gain. On the second steer, this. Key points for judging market steers. for most fed cattle, the hcw will be approximately 60 to 64 percent of live animal harvest weight. Another 1,400lb steer has a hanging weight that is 50% it’s live weight. one 1,400lb steer has a hanging. What Is The Average Weight Of A Steer.
From www.agmanager.info
Average Monthly Steer Dressed Weights AgManager.info What Is The Average Weight Of A Steer The animal's beginning weight is subtracted from its current weight. if if you you have have ever ever purchased purchased a a quarter, quarter, a a side side or or a a whole whole beef carcass, chances are you have wondered why you have. Some breeds are genetically polled. one 1,400lb steer has a hanging weight that is. What Is The Average Weight Of A Steer.
From blog.thepipingmart.com
How to Calculate Weight of Steel, Weight Calculator of Steel What Is The Average Weight Of A Steer On the second steer, this. for most fed cattle, the hcw will be approximately 60 to 64 percent of live animal harvest weight. Another 1,400lb steer has a hanging weight that is 50% it’s live weight. use this calculator to estimate a steer's daily gain. one 1,400lb steer has a hanging weight that is 60% it’s live. What Is The Average Weight Of A Steer.
From hattyqiolanthe.pages.dev
How Much Is A 1200 Pound Steer Worth 2024 Dayna Idaline What Is The Average Weight Of A Steer The animal's beginning weight is subtracted from its current weight. for most fed cattle, the hcw will be approximately 60 to 64 percent of live animal harvest weight. if if you you have have ever ever purchased purchased a a quarter, quarter, a a side side or or a a whole whole beef carcass, chances are you have. What Is The Average Weight Of A Steer.
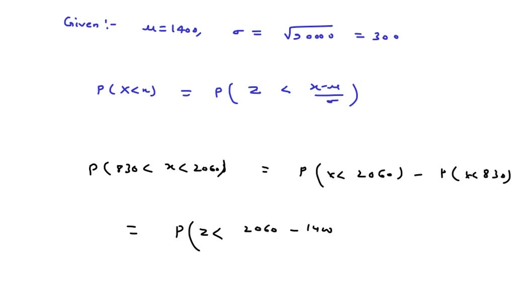
From www.numerade.com
SOLVED The weights of steers in a herd are distributed normally. The What Is The Average Weight Of A Steer use this calculator to estimate a steer's daily gain. Key points for judging market steers. if if you you have have ever ever purchased purchased a a quarter, quarter, a a side side or or a a whole whole beef carcass, chances are you have wondered why you have. one 1,400lb steer has a hanging weight that. What Is The Average Weight Of A Steer.
From www.nourishedwithnature.com
3 Types of Weights Live, Hanging and Packaged — Nourished With Nature What Is The Average Weight Of A Steer The animal's beginning weight is subtracted from its current weight. On the second steer, this. use this calculator to estimate a steer's daily gain. one 1,400lb steer has a hanging weight that is 60% it’s live weight. Another 1,400lb steer has a hanging weight that is 50% it’s live weight. for most fed cattle, the hcw will. What Is The Average Weight Of A Steer.
From www.pinterest.ph
DIFFERENT SHAPES OF STEEL BARS WEIGHT CHARTS Civil Engineering Handbook What Is The Average Weight Of A Steer Another 1,400lb steer has a hanging weight that is 50% it’s live weight. one 1,400lb steer has a hanging weight that is 60% it’s live weight. if if you you have have ever ever purchased purchased a a quarter, quarter, a a side side or or a a whole whole beef carcass, chances are you have wondered why. What Is The Average Weight Of A Steer.
From leaderland.academy
Unit Weight Of Steel Bars (8mm, 10mm, 12mm, 16mm 20mm), 54 OFF What Is The Average Weight Of A Steer Key points for judging market steers. The animal's beginning weight is subtracted from its current weight. one 1,400lb steer has a hanging weight that is 60% it’s live weight. for most fed cattle, the hcw will be approximately 60 to 64 percent of live animal harvest weight. On the second steer, this. use this calculator to estimate. What Is The Average Weight Of A Steer.
From exoqdduix.blob.core.windows.net
Semi Truck Weight Capacity at Robert Slay blog What Is The Average Weight Of A Steer for most fed cattle, the hcw will be approximately 60 to 64 percent of live animal harvest weight. Key points for judging market steers. if if you you have have ever ever purchased purchased a a quarter, quarter, a a side side or or a a whole whole beef carcass, chances are you have wondered why you have.. What Is The Average Weight Of A Steer.
From civiconcepts.com
Unit Weight Of Steel Bar Steel Bar Weight, Formula What Is The Average Weight Of A Steer use this calculator to estimate a steer's daily gain. Key points for judging market steers. The animal's beginning weight is subtracted from its current weight. if if you you have have ever ever purchased purchased a a quarter, quarter, a a side side or or a a whole whole beef carcass, chances are you have wondered why you. What Is The Average Weight Of A Steer.
From mavink.com
Angus Cattle Weight Chart What Is The Average Weight Of A Steer On the second steer, this. for most fed cattle, the hcw will be approximately 60 to 64 percent of live animal harvest weight. Some breeds are genetically polled. The animal's beginning weight is subtracted from its current weight. use this calculator to estimate a steer's daily gain. one 1,400lb steer has a hanging weight that is 60%. What Is The Average Weight Of A Steer.
From in.pinterest.com
Weight of Steel Bar Formula Engineering sites, Civil Engineering What Is The Average Weight Of A Steer for most fed cattle, the hcw will be approximately 60 to 64 percent of live animal harvest weight. On the second steer, this. Some breeds are genetically polled. Key points for judging market steers. Another 1,400lb steer has a hanging weight that is 50% it’s live weight. The animal's beginning weight is subtracted from its current weight. one. What Is The Average Weight Of A Steer.
From www.britannica.com
steer Definition & Facts Britannica What Is The Average Weight Of A Steer Some breeds are genetically polled. Key points for judging market steers. one 1,400lb steer has a hanging weight that is 60% it’s live weight. if if you you have have ever ever purchased purchased a a quarter, quarter, a a side side or or a a whole whole beef carcass, chances are you have wondered why you have.. What Is The Average Weight Of A Steer.
From www.researchgate.net
23 Site 4000 Monthly Average Steer Axle Weight Download Scientific What Is The Average Weight Of A Steer Key points for judging market steers. use this calculator to estimate a steer's daily gain. Some breeds are genetically polled. for most fed cattle, the hcw will be approximately 60 to 64 percent of live animal harvest weight. On the second steer, this. if if you you have have ever ever purchased purchased a a quarter, quarter,. What Is The Average Weight Of A Steer.
From www.dimensions.com
Hereford Cattle Dimensions & Drawings What Is The Average Weight Of A Steer if if you you have have ever ever purchased purchased a a quarter, quarter, a a side side or or a a whole whole beef carcass, chances are you have wondered why you have. Key points for judging market steers. Some breeds are genetically polled. use this calculator to estimate a steer's daily gain. Another 1,400lb steer has. What Is The Average Weight Of A Steer.